Machine Learning Operations

Assignment 1

Deep Learning Experiments on MNIST & FashionMNIST

Vasishth Bhatt | M25CSA007

View Repository Download Report Jupyter Notebook
Overview

Project Summary

Comprehensive comparison of deep learning models and traditional machine learning on image classification tasks.

2
Datasets (MNIST & FashionMNIST)
4
Model Architectures
128+
Experiments Run
99.01%
Best Accuracy
Q1(a)

ResNet Classification Results

Grid search over batch sizes, optimizers, and learning rates for ResNet-18 and ResNet-50.

Best MNIST

ResNet-18
99.01%

Adam optimizer, lr=0.001, batch_size=16

Best FashionMNIST

ResNet-18
90.76%

Adam optimizer, lr=0.001, batch_size=32

MNIST Dataset - Test Classification Accuracy (%)

Batch Size Optimizer Learning Rate ResNet-18 ResNet-50
16SGD0.00198.9598.55
16SGD0.000198.4897.91
16Adam0.00199.0198.31
16Adam0.000198.7697.74
32SGD0.00198.8298.70
32SGD0.000197.9196.87
32Adam0.00198.7898.54
32Adam0.000198.6697.02

FashionMNIST Dataset - Test Classification Accuracy (%)

Batch Size Optimizer Learning Rate ResNet-18 ResNet-50
16SGD0.00190.0689.02
16SGD0.000188.6685.60
16Adam0.00190.5787.42
16Adam0.000189.3587.91
32SGD0.00189.9389.29
32SGD0.000187.8683.60
32Adam0.00190.7689.40
32Adam0.000189.6986.91
Accuracy Comparison

Accuracy Comparison

Test accuracy across all configurations

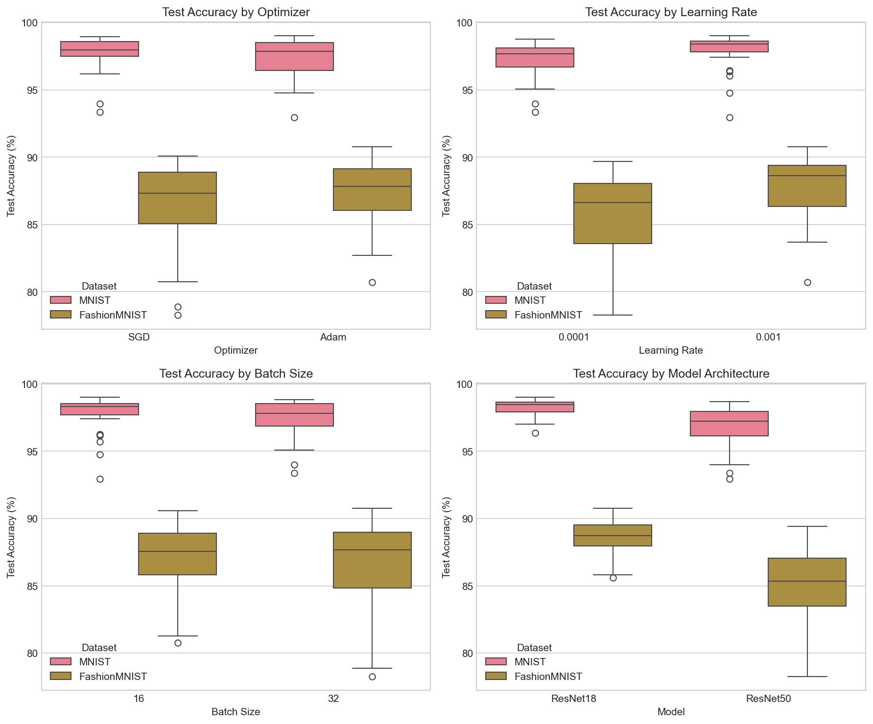
Hyperparameter Analysis

Hyperparameter Analysis

Impact of different hyperparameters

Q1(b)

SVM Classification Results

Support Vector Machine with Polynomial and RBF kernels.

Best MNIST SVM

RBF Kernel
95.60%

C=10.0, gamma=scale

Best FashionMNIST SVM

RBF Kernel
86.30%

C=10.0, gamma=scale

SVM Accuracy

SVM Accuracy by Kernel

Comparison of polynomial vs RBF kernels

SVM Training Time

SVM Training Time

Training efficiency across configurations

Q2

CPU vs GPU Performance

Training time and accuracy comparison between CPU and CUDA.

5.4x
ResNet-18 (SGD)
6.7x
ResNet-18 (Adam)
9.5x
ResNet-50 (SGD)
10.2x
ResNet-50 (Adam)

CPU vs GPU Training Comparison (FashionMNIST)

Compute Model Optimizer Accuracy (%) Training Time (ms) FLOPs
CPUResNet-18SGD88.54341,62133.18M
CPUResNet-18Adam88.23470,80333.18M
CPUResNet-50SGD84.841,064,10878.76M
CPUResNet-50Adam87.111,281,02878.76M
CUDAResNet-18SGD87.9762,96733.18M
CUDAResNet-18Adam86.1469,79433.18M
CUDAResNet-50SGD84.18111,65178.76M
CUDAResNet-50Adam86.96125,69378.76M
Training Time Comparison

Training Time Comparison

CPU vs GPU training speed with speedup factors

Combined Results

Combined Results

Time and accuracy by model and optimizer

Analysis

Key Findings

Important insights from the experiments.

Model Architecture

ResNet-18 consistently outperforms ResNet-50 on both datasets. Smaller models generalize better on relatively simple datasets, while larger models may overfit.

Optimizer Choice

Adam optimizer achieves higher accuracy than SGD in most configurations. It converges faster and is less sensitive to learning rate choices.

Learning Rate

lr=0.001 generally produces better results than lr=0.0001, enabling faster convergence within limited epochs.

GPU Acceleration

GPU provides 5-10x speedup over CPU, with larger speedups for bigger models. Mixed precision training further improves performance.

DL vs ML

Deep learning (ResNet) significantly outperforms traditional SVM: 99.01% vs 95.60% on MNIST, 90.76% vs 86.30% on FashionMNIST.

Batch Size

Smaller batch sizes (16) provide more regularization, while larger batches (32) offer better GPU utilization and stability.

Summary

Best Models

Overall Best Results

Task Dataset Model Configuration Accuracy
Q1(a) MNIST ResNet-18 Adam, lr=0.001, bs=16 99.01%
Q1(a) FashionMNIST ResNet-18 Adam, lr=0.001, bs=32 90.76%
Q1(b) MNIST SVM (RBF) C=10.0, gamma=scale 95.60%
Q1(b) FashionMNIST SVM (RBF) C=10.0, gamma=scale 86.30%